長良サイエンス株式会社
「研究を楽しみ
ながら
」の
会社概要
業務内容
製品情報
社長の一言
お問い合わせ
アクセスマップ
製品詳細
Product Details
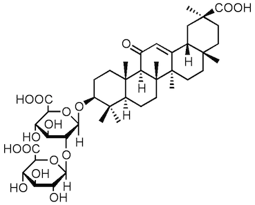
Glycyrrhizin( Glycyrrhizic acid )
別名:
CAS: 103000-77-7, 1405-86-3
分子式・分子量: C
42
H
62
O
16
・nH
2
O = 822.93+
規格: ≧99% (HPLC)
カタログpdfを開く
製品番号
包装単位
価格(円)
出荷
NH080102
20mg
7000
NH080103
100mg
22000
注文はこちらから
<<検索ページに戻る
製品情報
製品分類一覧
試薬製品検索
最新全価格表(pdf)
構造式一覧(pdf)
高分離能カラム担体
HPLC充填カラム(pdf)
Copyright(c) 2018
長良サイエンス株式会社
All Rights Reserved.